2021年6月,幸运飞艇
三年级本科生孙翰文以第一作者在《Monthly Notices of the Royal Astronomical Society》(皇家天文学会月报)上发表了一篇题为“Dynamical and thermal properties of the parsec-scale gases sphericallyaccreted on to low luminous active galactic nuclei”的研究论文(MNRAS 505, 4129–4140 (2021))。MNRAS是由英国皇家天文学会主办的期刊,已有近200年的历史,是天文学界权威专业期刊之一。
孙翰文同学在大学二年级下学期期间加入幸运飞艇
杨孝鸿老师课题组进行学习,在杨孝鸿老师的指导下完成了论文中的理论计算工作。幸运飞艇
杨孝鸿老师为该论文的通讯作者,幸运飞艇
是论文的第一和通讯单位。
活动星系核的物质供给是天体物理关注的一个重要课题。几十年来,邦迪模型作为一个解析的简单模型常常用于描述球对称的稳定吸积过程。该模型在观测和数值模拟中,时常用于估计活动星系核的吸积率。然而,在描述活动星系核在pc尺度上的物质供给或吸积过程时,邦迪模型过于简单。该工作基于解析的方法,结合了低光度活动星系核的具体情况,通过引入辐射加热或制冷效应以及核球恒星势对邦迪模型进行了完善。更重要的是,该工作还讨论了中心源的不同辐射温度对吸积流热不稳定性的影响,指出较高的辐射温度会使吸积流趋于热不稳定,热不稳定的出现会是气体变成两相气体(高温气体和低温气体),高温气体可能变成外流并降低吸积率,这有助于我们进一步理解在低光度活动星系核周围、pc尺度上的气体动力学和热力学过程。

图一:新模型与邦迪模型的比较,从左至右分别为速度、温度与马赫数曲线。

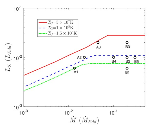
图二:光度—吸积率图上的不稳定边界(右下方稳定,左上方不稳定),三条曲线分别代表三个不同的辐射温度。

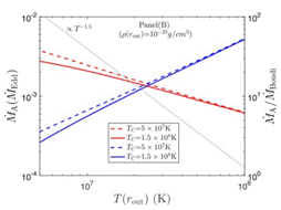
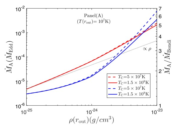
图三:新模型预言的吸积率随观测气体密度(左图)与温度(右图)的变化关系。
论文链接://doi.org/10.1093/mnras/stab1616